79+ pages predict the product of the following sn2 reaction 810kb. All Organic Chemistry Practice Problems SN1 SN2 E1 E2 Chart Big Daddy Flowchart Practice Problems. Are the products optically active or optically inactive. A stereospecific reaction is one in which different stereoisomers react to give different stereoisomers of the product. Check also: reaction and learn more manual guide in predict the product of the following sn2 reaction Click hereto get an answer to your question What is the product of the following SN2 reaction.
A neutral compound 66. What set of reaction conditions would favor an SN2 reaction on 2-bromo-3-methylbutane.

Predict The Product For The Following Sn2 Reaction Chegg
| Title: Predict The Product For The Following Sn2 Reaction Chegg |
| Format: ePub Book |
| Number of Pages: 207 pages Predict The Product Of The Following Sn2 Reaction |
| Publication Date: September 2021 |
| File Size: 2.6mb |
| Read Predict The Product For The Following Sn2 Reaction Chegg |
University of California - Los Angeles.

Organic Chemistry Predict the SN2 and E2 products of the reaction between an alcohol NaoMeMeOh base and 2-bromo-1-phenylpropane. Hence the product in reaction is. Br NaOCH OCH NET 3. Already have an account. Log in Alexander C. The Single Bond Is Active By Default.

Predict The Product For The Following Sn2 Reaction O Chegg
| Title: Predict The Product For The Following Sn2 Reaction O Chegg |
| Format: eBook |
| Number of Pages: 213 pages Predict The Product Of The Following Sn2 Reaction |
| Publication Date: September 2018 |
| File Size: 1.6mb |
| Read Predict The Product For The Following Sn2 Reaction O Chegg |

Predict The Product Of The Following Sn2 Reaction Study
| Title: Predict The Product Of The Following Sn2 Reaction Study |
| Format: ePub Book |
| Number of Pages: 263 pages Predict The Product Of The Following Sn2 Reaction |
| Publication Date: August 2020 |
| File Size: 1.4mb |
| Read Predict The Product Of The Following Sn2 Reaction Study |

Allylic Bromination Nbs Practice Problems Chemistry Anic Synthesis Anic Chemistry
| Title: Allylic Bromination Nbs Practice Problems Chemistry Anic Synthesis Anic Chemistry |
| Format: PDF |
| Number of Pages: 159 pages Predict The Product Of The Following Sn2 Reaction |
| Publication Date: April 2018 |
| File Size: 1.3mb |
| Read Allylic Bromination Nbs Practice Problems Chemistry Anic Synthesis Anic Chemistry |

Nucleophilic Aromatic Substitution Practice Predict The Product Anic Chemistry Chemistry Anic Chemistry Study
| Title: Nucleophilic Aromatic Substitution Practice Predict The Product Anic Chemistry Chemistry Anic Chemistry Study |
| Format: PDF |
| Number of Pages: 250 pages Predict The Product Of The Following Sn2 Reaction |
| Publication Date: July 2019 |
| File Size: 1.5mb |
| Read Nucleophilic Aromatic Substitution Practice Predict The Product Anic Chemistry Chemistry Anic Chemistry Study |

6 45 Predict The Products Of The Following Sn2 Chegg
| Title: 6 45 Predict The Products Of The Following Sn2 Chegg |
| Format: eBook |
| Number of Pages: 248 pages Predict The Product Of The Following Sn2 Reaction |
| Publication Date: July 2018 |
| File Size: 1.2mb |
| Read 6 45 Predict The Products Of The Following Sn2 Chegg |

Predict The Product For The Following Sn2 Reaction Chegg
| Title: Predict The Product For The Following Sn2 Reaction Chegg |
| Format: eBook |
| Number of Pages: 346 pages Predict The Product Of The Following Sn2 Reaction |
| Publication Date: January 2019 |
| File Size: 800kb |
| Read Predict The Product For The Following Sn2 Reaction Chegg |

On Alkene Reactions With Practice Problems
| Title: On Alkene Reactions With Practice Problems |
| Format: PDF |
| Number of Pages: 293 pages Predict The Product Of The Following Sn2 Reaction |
| Publication Date: December 2017 |
| File Size: 6mb |
| Read On Alkene Reactions With Practice Problems |

Draw The Mechanism And Show The Products With Correct Stereochemistry For The Following Sn2 Reactions Chemistry Chemistry Lessons Anic Chemistry
| Title: Draw The Mechanism And Show The Products With Correct Stereochemistry For The Following Sn2 Reactions Chemistry Chemistry Lessons Anic Chemistry |
| Format: ePub Book |
| Number of Pages: 201 pages Predict The Product Of The Following Sn2 Reaction |
| Publication Date: August 2021 |
| File Size: 2.1mb |
| Read Draw The Mechanism And Show The Products With Correct Stereochemistry For The Following Sn2 Reactions Chemistry Chemistry Lessons Anic Chemistry |

Predict The Product For The Following Sn2 Reaction Chegg
| Title: Predict The Product For The Following Sn2 Reaction Chegg |
| Format: eBook |
| Number of Pages: 259 pages Predict The Product Of The Following Sn2 Reaction |
| Publication Date: April 2021 |
| File Size: 1.7mb |
| Read Predict The Product For The Following Sn2 Reaction Chegg |

Predict The Product For The Following Sn2 Reaction Ci Chegg
| Title: Predict The Product For The Following Sn2 Reaction Ci Chegg |
| Format: ePub Book |
| Number of Pages: 300 pages Predict The Product Of The Following Sn2 Reaction |
| Publication Date: January 2020 |
| File Size: 1.5mb |
| Read Predict The Product For The Following Sn2 Reaction Ci Chegg |

Acetoacetic Ester Synthesis For Aldol Alkylation Retrosynthetic Practice Problems Chemistry Ester Anic Chemistry
| Title: Acetoacetic Ester Synthesis For Aldol Alkylation Retrosynthetic Practice Problems Chemistry Ester Anic Chemistry |
| Format: ePub Book |
| Number of Pages: 197 pages Predict The Product Of The Following Sn2 Reaction |
| Publication Date: May 2017 |
| File Size: 1.5mb |
| Read Acetoacetic Ester Synthesis For Aldol Alkylation Retrosynthetic Practice Problems Chemistry Ester Anic Chemistry |
S N 2 reaction involves inversion of configuration because attacks occurs from back sides. Learn this topic by watching SN1 SN2 E1 E2 Chart Big Daddy Flowchart Concept Videos. Log in Alexander C.
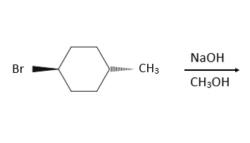
Here is all you need to learn about predict the product of the following sn2 reaction Predict the product of the following SN 2 2 reaction. Are the products optically active or optically inactive. Provide a curved arrow mechanism for the following SN2 reaction. Nucleophilic aromatic substitution practice predict the product anic chemistry chemistry anic chemistry study allylic bromination nbs practice problems chemistry anic synthesis anic chemistry predict the product for the following sn2 reaction ci chegg acetoacetic ester synthesis for aldol alkylation retrosynthetic practice problems chemistry ester anic chemistry 6 45 predict the products of the following sn2 chegg on alkene reactions with practice problems So Refer to image 01.